일러스트레이터 펜툴(직선, 곡선)그리기 및 패스편집하기
0. 펜툴(P)

펜 툴은 곡선 및 직선 패스를 활용하여 다양한 그림을 그릴 수 있도록 해주는
일러스트레이터의 매우 중요한 핵심 기능입니다.
1. 기본패스 그리기(직선)

펜 툴을 선택합니다.
화면에 마우스를 놓았을 때 아래와 같은 아이콘이 나타나는지 확인합니다.
* 아래 모양이 아닌 X 형태로 아이콘이 나올 경우 키보드 Caps Lock 키를 눌러주세요.

★ 새로운 패스 그리기
★ 새 패스를 그리기 시작할 때는 반드시 위 모양으로 마우스모양이 나타나는지 확인하고 그려줘야합니다.
1-1. 화면에서 원하는 시작 위치를 클릭합니다.
1-2. 원하는 거리와 각도를 잰 후 두번째 위치를 클릭하면 첫번째 위치와 두번째 위치가 이어지는 패스가 만들어집니다.

1-3. 선이 아닌 면 형태의 패스를 제작하려면
최소 3개의 기준점이 필요하므로 다음 원하는 위치를 다시 한번 클릭합니다.
* 기존 기준점과 수평/수직 위치가 맞으면 아래처럼 분홍색 안내선이 표시됩니다.
(색상은 설정값에 따라 다를 수 있습니다)

1-4. 3개 이상의 기준점을 제작 후 닫힌 패스를 제작하고 싶다면 처음 눌렀던 시작점과 끝점을 연결해야 합니다.
시작 점 위치에 마우스를 갖다 대면 아래 그림처럼 아이콘이 표시됩니다.
그 때 정확히 클릭하여 시작점과 끝점을 연결하고 닫힌 패스로 패스를 완성합니다.

※ 닫힌 패스와 열린 패스의 차이
* 열린 패스는 자동으로 종료되지 않으므로 그린 후 Enter키를 눌러 패스를 직접종료해야합니다.
| 열린패스 | 닫힌패스 |
![]() |
![]() |
2. 패스 선택하고 수정하기

열린패스 혹은 닫힌패그로 그린 패스는 직접선택툴(우측) 및 선택툴(좌측)로 편집을 진행하게 됩니다.

전체 크기 조정, 전체 회전, 전체 기울기, 전체 선택 후 이동 등의 패스에 형태를 유지한 채 이동 및 간단한 편집을 수행할 때 사용합니다.

기준 점 부분 선택 후 위치조정, 곡선, 직선 변경 등의 패스 형태를 수정 시 사용합니다.

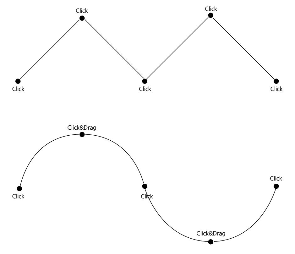
3. 곡선패스 그리기

펜툴을 선택합니다.
기본적인 순서는 직선패스와 같으나 직선이 단순 클릭으로 진행된다면 곡선은 클릭&드래그로 이루어집니다.

드래그 시 곡선의 방향과 모양을 정하는 방향선과 방향점이 만들어지는데 아래 그림처럼 나타납니다.

곡선을 그려봅시다!
1-1. 펜툴을 선택합니다.(새로 그리기 모양 확인)

1-2. 시작점 클릭&드래그 후 두번째 점 위치에서 아래와 같이 진행합니다.
* 곡선 방향에 따라 드래그 하는 방향이 다를 수 있습니다.(상하좌우대각선)


1-3. 방향선의 크기와 각도에 따라 반대쪽의 일정한 위치에 기준점을 클릭하여
새로 드래그 하지 않고도 동일한 형태의 곡선이 제작가능합니다.

1-4. 닫힌 패스로 마무리하고 싶은 경우는 직선 닫힌패스 그릴 때와 동일하게 시작점과 끝점을 연결하여
마우스 아이콘 모양(o) 확인 후 정확히 클릭해주면 닫힌 패스로 완성됩니다.
* 열린 패스로 끝내고 싶을 경우 위 1-3 순서를 그린 후 Enter 키를 눌러줍니다.

3. 패스 기준점 추가하기&제거하기
3-1. 닫힌패스 또는 열린패스를 그려서 준비하세요.
패스추가툴로 원하는 패스선를 클릭하면 기준점이 추가됩니다.

3-2. 추가된 기준점을 편집하려면 직접 선택툴을 활용하여 클릭 후 원하는 형태로 편집합니다.


3-3. 기준점을 제거할때는 패스제거툴로 이미 생성된 기준점위치를 클릭합니다.


4. 패스 수정하기
4-1. 앵커 포인트 툴(기준점 수정 툴)을 선택하고 수정하고자 하는 기준점 및 방향점을 잡고
드래그하여 편집할 수 있습니다.
기준점 클릭&드래그 시 곡선과 직선으로 변경이 가능하며,
방향점 클릭&드래그 시 곡선 방향 및 크기형태등을 변경할 수 있습니다.




* 직접선택툴 편집 시 Alt 누른 상태로 방향점을 조절하면 개별 편집이 가능합니다.

| 기본 편집 모습(단축키 사용안함) | ALT 누르고 조정 시 모습(개별수정) |
![]() |
![]() |



